The following is the established format for referencing this article:
Serrano-Rodríguez, A., G. Escalona-Segura, A. González-Rodríguez, S. Machkour-M’Rabet, E. E. Íñigo-Elias, A. H. Plasencia-Vázquez, A. Serrano Rodríguez, and L. Ruiz-Montoya. 2025. Morphometric sex determination in the endemic Yucatan Wren (Campylorhynchus yucatanicus). Journal of Field Ornithology 96(4):2.ABSTRACT
Sex determination in birds is vital for evolutionary biology and conservation efforts. However, sexing cryptic species can be challenging, especially outside the breeding season because of reduced dimorphic traits. This complicates conservation strategies and our grasp of ecological dynamics. This study aimed to develop a simple and reliable method to classify the Yucatan Wren (Campylorhynchus yucatanicus), an endemic and threatened species in the family Troglodytidae, using external structure measurements. A total of 141 individuals of the species were successfully captured using mist nets. We collected blood samples and measured various external structures. In the laboratory, we determined the sex of each individual with precision using the 1237L/1272H primer set, and the Classification and Regression Trees (CART) were employed to accurately identify their sex. Sexual dimorphism was pronounced, with males having greater body length and mass than females. Other sexually dimorphic variables included beak length, height from the nares, and base-measured beak length. The CART method was useful in distinguishing between the sexes, which will be very useful for future ecological studies on the conservation of C. yucatanicus.
RESUMEN
La determinación del sexo en las aves es fundamental para los estudios de biología evolutiva y ecología, siendo importante para el manejo y conservación de sus poblaciones. Sin embargo, determinar el sexo de las especies crípticas sigue siendo problemático, especialmente fuera de la temporada de reproducción, cuando se reducen los rasgos dimórficos. El objetivo de este estudio fue identificar un método sencillo y fiable basado en mediciones de estructuras externas que permita clasificar el sexo de individuos del Campylorhynchus yucatanicus, una especie endémica y amenazada de la familia Troglodytidae. Un total de 141 individuos de la especie fueron capturados con redes de niebla, se colectó sangre y se realizaron mediciones de estructuras externas. El sexo se determinó en el laboratorio utilizando el conjunto de iniciadores 1237L/1272H, y se empleó el método de árboles de clasificación y regresiones (CART) para identificar el sexo de los individuos. El dimorfismo sexual fue marcado, con los machos presentando una mayor longitud corporal y masa que las hembras. Otras variables con dimorfismo sexual incluyeron la longitud del pico, la altura desde las narinas y la longitud del pico medida desde la base. El método CART fue útil para discriminar entre sexos, lo cual es de gran utilidad para futuros estudios sobre ecología en vistas a la conservación de C. yucatanicus.
INTRODUCTION
Birds can be classified based on their phenotypic characteristics as either monomorphic (where males and females appear similar) or dimorphic (where males and females exhibit differences). Sexual dimorphism is common in birds and is often evident in their plumage and body size (Temeles et al. 2000, Dunn et al. 2001, Blondel et al. 2002, Dunn et al. 2015). The visibility of sexual dimorphism in birds varies throughout the year because many sexual traits are seasonal. During the breeding season, the sexes can be distinguished by temporary characteristics: males develop a cloacal protuberance for sperm storage, while females have a highly vascularized brood patch that transfers heat to the eggs (Wolfson 1952). In species with breeding plumage, males may also display more intense colors or patterns linked to reproductive hormones (Pyle 1997, Delhey et al. 2010, DeSante et al. 2025). Outside of the breeding season, these markers may be lost or become less pronounced, making visual sexing difficult and increasing the need for additional tools in field studies (Stein et al. 2008, Volodin et al. 2015, Witkowska and Meissner 2020). Accurate sex identification is essential for conservation and population management and for addressing issues in behavioral ecology, population dynamics, and reproductive studies (Fernández and Lank 2007, Thalinger et al. 2018), because errors in sex identification can distort estimates of survival rates, resource allocation, and parental roles. Therefore, non-invasive and reproducible techniques, such as interpretable morphometric models, are particularly valuable when seasonal reproductive characteristics are not observable or when capture and invasive sampling would be undesirable because of ethical or logistical reasons (Volodin et al. 2015, DeSante et al. 2025).
Several methods are used to distinguish between male and female birds. These methods can be categorized as invasive (such as laparoscopy), moderately invasive, minimally invasive (like karyotyping and DNA-based techniques), and non-invasive (including steroid sexing, vent sexing, morphometric observations, and vocalizations; Silva et al. 2023). However, even among dimorphic species, it can be challenging to differentiate between sexes, as some have similar plumage patterns, a phenomenon known as cryptic dimorphism. This is observed in some species of the Troglodytidae family.
In many passerine species, sex can be determined based on vocalization (Roper 2005), plumage (Lima-Rezende and Caparroz 2016), size, or features of external structures such as the presence of a brood patch and cloacal protuberance (Pyle 1997). However, determining the sex of monochromatic species outside of the breeding season can be challenging. Historically, researchers have had to sacrifice birds to determine the sex of a monochromatic species, relying on direct inspection of the gonads (Bailey 1953, Wingfield and Farner 1976). Alternative methods, such as laparoscopy or genetic techniques are now available to determine the sex of individuals (Maron and Myers 1984). In avian biology and veterinary medicine, laparoscopy is a surgical method that allows the internal reproductive organs (gonads) to be examined directly through small incisions under anesthesia. This enables accurate sex determination, even in species with no external sexual dimorphism (Richner 1989, Volodin et al. 2015). Properly performed laparoscopy in large birds, with appropriate dosages, and in sterile labs appears to have minimal or no effect on the physical health and behavior of birds (Piper and Wiley 1991). However, stricter standards must be in place when handling small passerines and endangered species in the field, such as the Yucatan Wren (Campylorhynchus yucatanicus) because of the increased risk (Fair et al. 2010).
Birds can be identified as male or female by using molecular markers that amplify fragments of the CHD gene on the W and Z chromosomes (Griffiths et al. 1996, Jensen et al. 2003). Unlike humans, avian males are homogametic, so when amplified by polymerase chain reaction (PCR) and examined by gel electrophoresis, males show only one band because both introns are the same size (ZZ). Females, on the other hand, are the heterogametic sex and show two bands (WZ). This simplified method only works for species with different intron sizes, but there are other methods for species with similar intron sizes (Han et al. 2009). However, these molecular techniques require specialized laboratories, training, and are often expensive. Therefore, it is essential to find more affordable and less invasive alternatives for identifying the sex of birds, especially in small passerine species and/or of conservation concern.
In recent years, there has been growing interest in using classification and regression tree (CART) analysis. CART analysis is a tree-building technique that differs from traditional data analysis methods in its assumptions. It is an ideal method for generating clinical decision rules (Hess et al. 1999) when the data’s normality and independence are absent. The use of CART was limited years ago by the complexity of the software required to run the analysis. But CART can often uncover complex interactions between predictors that are difficult or impossible to uncover using traditional multivariate techniques (De'ath and Fabricius 2000); and therefore it can help in the cases of monochromatic species. Several passerine families show evident sexual dimorphism (del Hoyo et al. 2005). However, most species in the Troglodytidae family, which includes the known wrens, have cryptic plumage and subtle size variations in external morphology between males and females, as indicated by Pyle (1997) and Brewer and MacKay (2001). That is why it is difficult to differentiate between the sexes only by sight. Campylorhynchus yucatanicus is one of the monochromatic species of the family Troglodytidae. This species is endemic to the extreme northern coast of the Yucatan Peninsula found only in the coastal thorn scrub of dune vegetation (Paynter 1955, Vargas Soriano et al. 2010, Serrano-Rodríguez et al. 2017) and is listed as endangered by the Mexican Government (Diario Oficial de la Federación 2010). Recent studies suggest that the species may be under environmental pressure, and a new threat category has been proposed to the IUCN (Serrano-Rodríguez et al. 2022).
Determining the sex of birds is important not only in behavioral ecology, but also in evolutionary biology, genetics, and conservation biology (Badyaev and Hill 2003, Estellés-Domingo and López-López 2023, Turcu et al. 2023). To achieve this, we sought to identify a method based on measurements of external structures that would allow us to classify the sex of individuals in the field.
MATERIALS AND METHODS
We conducted this study along the coast between the cities of Celestún and Ría Lagartos in the state of Yucatán, Mexico, in 2015 and 2016. We worked in 14 localities that were evenly distributed along the coast. These locations are: (1) Celestún southeast, (2) Celestún northwest, (3) El Palmar, (4) Sisal east, (5) Sisal west, (6) Chuburná, (7) Capilla, (8) Chixchulub east, (9) San Benito, (10) Xcambó south, (11) Santa Clara, (12) Dzilam south, (13) Ría Lagartos east, and (14) Ría Lagartos west (Fig. 1, Appendix 1).
We used mist nets and playback recordings of the species to attract and capture individuals. Each captured specimen was marked with a unique combination of colored leg bands to avoid counting the same individual multiple times during the study. We collected between 2 and 3 µl of blood from the brachial vein of each adult using a fine needle and heparinized capillary tubes. The blood was placed in tubes containing 15% K3EDTA solution and stored frozen at -20 °C until laboratory processing. Meanwhile, from the time the samples were taken until we had access to the freezer, the blood was kept in a fridge with ice for a few hours. We secured federal and state permits from SEMARNAT (Secretaría de Medio Ambiente y Recursos Naturales) and authorized access to protected areas for these collections and the Yucatan State SEDUMA (Secretaría de Desarrollo Urbano y Medio Ambiente).
We captured 181 individuals, from which we successfully extracted DNA from 141. We recorded measurements of external structures (wing, tarsus, and beak) whenever possible for each individual. All measurements on all C. yucatanicus individuals were taken by a single researcher using the methodology described in Pyle (1997). The basic statistics of such variables are listed in Table 1. Sex was determined using the primer set 1237L (5'-GAGAAACTGTGCAAAACAG-3') / 1272H (5'-TCCAGAATATATCTTCTTCTGCTCC-3') (Kahn et al. 1998). A mixture of 1 uL DNA, 3uL Taq DNA Polymerase, 2.7 uL water, and 0.3 uL primer was used for amplification, for a final volume of 6uL. Each reaction included a preheat at 94 °C for 3 min and 39 cycles were performed with the following steps: denaturation at 94 °C for 1 min, alignment at 57.6 °C for 1 min, and extension at 72 °C for 1 min. After extension of the strands, a temperature of 72 °C was maintained for 10 min and allowed to cool to 10 °C. PCR products were visualized on 1.5% agarose gels, through an electrophoretic run at 70 V and a duration of 1 hr 20 min. Classification was performed by visualization of the bands on the agarose gels. A second criterion to corroborate the classification was the presence of the brood patch in females during the breeding season (Armiger 2014).
We evaluated the normality of the data and homogeneity of variance and performed a non-parametric U-Mann Whitney comparison of means to explore differences in the measurements of the structures between sexes. The percentage of sexual dimorphism was calculated with the formula: ((Xf - Xm)/Xm)*100, where Xm is the average of the measurements of males and Xf that of females (Jiménez et al. 2016). Additionally, a jackknife test was performed to evaluate the relative importance of the variables.
To find a method of sexing this species that could be implemented in the field without the need for molecular techniques, we used a classification and regression tree, CART (Breiman et al. 1984), implemented in the rpart (Therneau and Atkinson 1997, Therneau et al. 2023), caret (Kuhn 2023), and rpart.plot library (Milborrow 2023) of the R software. The analysis included the following body measurements: wing length, tarsus length, beak length from the nostrils, beak height, beak length from the base, and beak and head length. An exploratory CART analysis was used to eliminate the remaining variables of lesser importance. Individuals with missing data for any of the selected variables were discarded from the study. The resulting database of 135 individuals was randomly divided into two subsets: a training group (70%), used to adjust and select the model, and a test group (30%), reserved for the final evaluation. The data within the training set was partitioned into 10 subsets (or folds) of an equivalent size. The model was trained on nine of these folds and validated on the remaining fold. This process was repeated, with the validation fold alternating each time. The resulting errors were averaged to estimate the tree’s generalization capacity (Breiman et al. 1984, Kuhn and Johnson 2013). This minimized the risk of overfitting, reducing dependence on a single partition and providing a more robust measure of expected error (James et al. 2021) before the model was applied and evaluated to the test data. The complexity parameter that optimized the balance between accuracy and simplicity was selected automatically to avoid overfitting. The tree was then pruned according to this criterion, and the performance metrics of accuracy, sensitivity, specificity, and the Kappa index were evaluated, as well as the relative importance of the predictor variables (Olden et al. 2008, Kuhn and Johnson 2013).
RESULTS
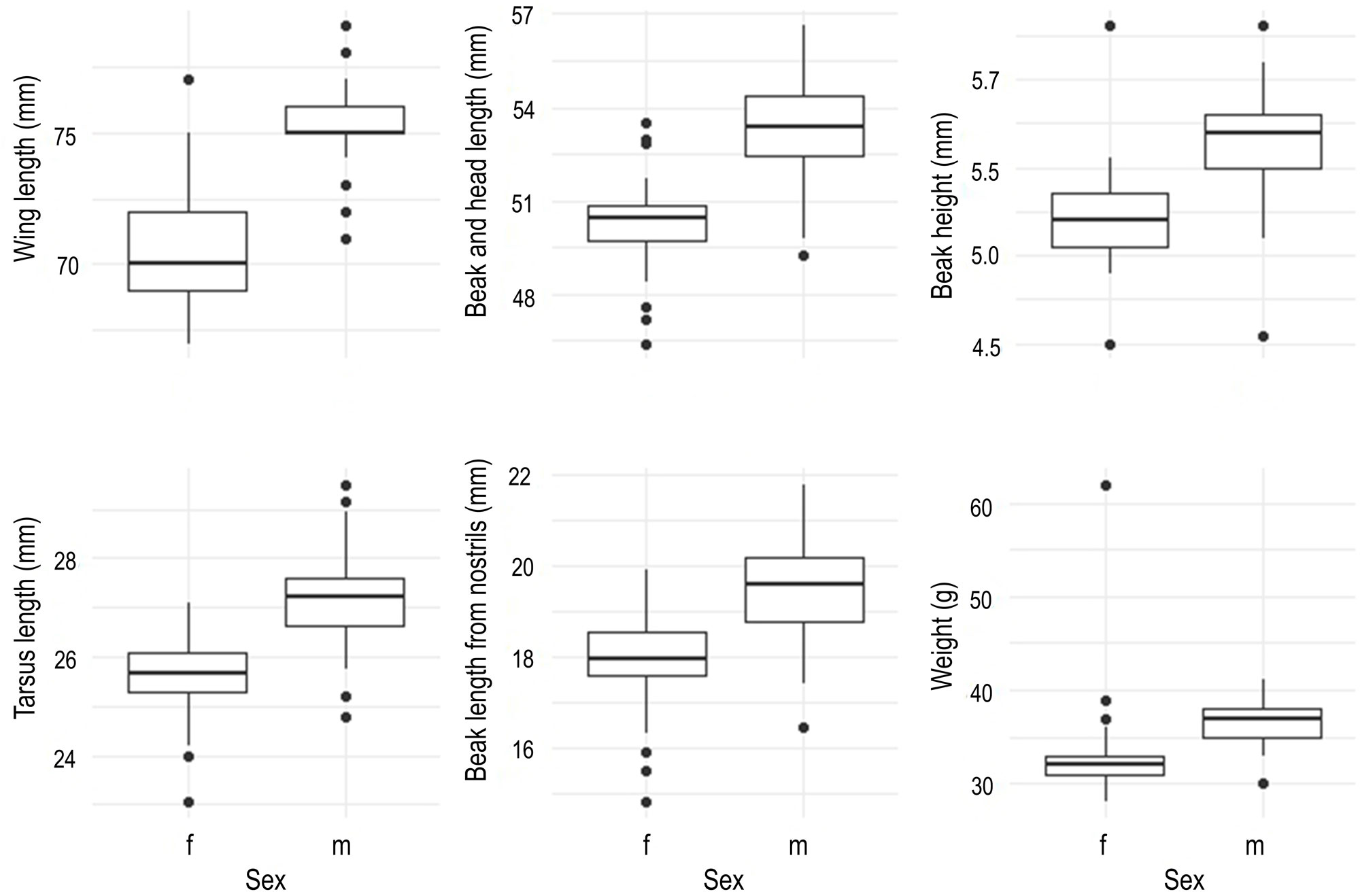
We identified 75 males and 66 females using molecular techniques. Males are significantly larger than females across all measured external structures (Table 1, Fig. 2). Significant differences in weight, length, height of the bill from the nares, and the length of the exposed culmen were found using a non-parametric U-Mann-Whitney test, as the data did not follow a normal distribution.
The final classification tree of the CART algorithm had three nodes and considered two variables, beak and head length and wing length (Fig. 3). The root node effectively separated the females with beak and head length < 51 mm (who represented 41% of the sample) from those individuals with higher values, who were mostly classified as male (59%). Subsequently, among individuals with longer beaks, the model included the wing length variable with a threshold of 74 mm, and within this group, the tarsus length with a value of 27 mm. Thus, the pruned tree showed that individuals with beak and head length ≥ 51 mm and wing length ≥ 74 mm were classified almost exclusively as males (98%), while those with wing < 74 mm and tarsus < 27 mm corresponded mainly to females (6%) and those with tarsus ≥ 27 mm to males (5%). Overall, the model achieved a classification consistent with the distribution observed in the training data. (Fig. 3).
The complexity analysis revealed that after the first split (nsplit = 1), the relative error dropped sharply from 0.4687 at the root node to 0.1333, with a comparable cross-validation error (xerror = 0.1333 ± 0.0527). With the inclusion of three splits (nsplit = 3), the relative error decreased further to 0.0444, while the cross-validation error reached 0.0667 (± 0.0379). These results confirm that the pruned tree substantially reduced the error rate relative to the initial node, achieving a balance between model fit and generalization, as reflected in the low cross-validation error obtained through 10-fold validation. The confusion matrix for the training data showed that the classification tree correctly identified 100% of the females (18/18) and 81% of the males (17/21), with only four males misclassified as females. Overall, the model reached an accuracy of 89.7%, reflecting its strong ability to discriminate between sexes. The evaluation of the classification tree demonstrated strong predictive performance in both training and testing datasets (Table 2). In the independent test set, the model achieved an overall accuracy of 89.7% (95% confidence interval: 0.758–0.971), with a perfect sensitivity (1.0000) for the female class, and a specificity of 0.8095 for the male class. Cohen’s Kappa coefficient (0.7969) indicated a substantial agreement between predictions and true labels, and the balanced accuracy reached 0.9048, confirming robustness across classes. On the training set, performance was even higher, with an accuracy of 97.9% (95% confidence interval: 0.927–0.998), nearly perfect sensitivity (0.9778) and specificity (0.9804), and a Kappa value of 0.9582, reflecting excellent reliability of the model. These results highlight that the pruned tree generalized well to unseen data while maintaining high classification power, particularly in correctly identifying female individuals.
DISCUSSION
According to our results, the CART method can be a precise, valuable, and practical technique for predicting the sex of C. yucatanicus in the field by taking a few measurements without the need for laboratory analysis. Similar approaches have been successful in other species with cryptic dimorphism, including those in the family Troglodytidae. For instance, Gill and Vonhof (2006) showed that subtle morphometric characteristics could reliably distinguish the sexes of Buff-breasted Wrens (Cantorchilus leucotis). Comparable outcomes have been reported for Troglodytes troglodytes, where morphometric discriminant functions achieved levels of accuracy comparable to molecular methods. A combination of wing length and head-and-bill measurements correctly identified the sex of 96% of individuals (Sweeney and Tatner 1996). These studies show that, even when external plumage dimorphism is absent, morphometric variation can be used to accurately determine sex.
Compared with molecular sexing, which is often considered the most prestigious and outstanding standard (Lee et al. 2008, Purwaningrum et al. 2019, Turcu et al. 2023), morphometric methods have the advantages of being non-invasive, cost-effective, and applicable directly in the field (Meissner et al. 2018). For example, morphometric discriminant functions achieved accuracy levels similar to molecular methods in raptors such as the Bonelli’s Eagle (Aquila fasciata), highlighting the potential of morphometry-based approaches in conservation research (Estellés-Domingo and López-López 2023). Nevertheless, molecular techniques remain indispensable in certain contexts, particularly when there is significant overlap in morphometric characteristics between the sexes.
In comparison with conventional methodologies, such as linear discriminant analysis, CART boasts the advantage of being able to manage non-linear relationships and intricate interactions between variables, without being encumbered by assumptions concerning multivariate normality or equal covariance matrices across groups (Breiman et al. 1984, Loh 2014). This makes CART especially suitable for ecological data, where morphometric traits may not follow normal distributions. Additionally, CART provides easily interpretable graphical outputs in the form of classification trees and explicit decision rules, facilitating its application by field biologists and conservation practitioners (De'ath and Fabricius 2000, Cutler et al. 2007). The direct application of CART rules to the classification of new individuals enhances its practical utility.
In C. yucatanicus, we found that males are generally larger than females, as is the case in most bird species (Pyle 1997). However, in some species, such as some hummingbirds and birds of prey, females are larger than males (Temeles et al. 2000, Stiles et al. 2005). Females in the genus Campylorhynchus tend to be smaller on average (Ridgway 1904, Selander 1964, Bradley and Mennill 2011). Armiger (2014) showed that females of C. yucatanicus are smaller than males, produce a brood patch during the breeding season, which is absent in males, and play a larger role in incubation. Various hypotheses are used to explain sexual size dimorphism, but the main ones in passerines are related to sexual selection (Darwin 1871, Hedrick and Temeles 1989, Andersson and Iwasa 1996, Blondel et al. 2002, Clutton‐Brock 2009, Dale et al. 2015) and ecological mechanisms, such as competition for resources, which may result in sex differences in habitat use and niche segregation (Hedrick and Temeles 1989, Shine 1989, Blondel et al. 2002). In Carolina Wrens (Thryothorus ludovicianus), Haggerty (2006) revealed assortative mating by size, a dynamic that could be used in future models that integrate social pairing patterns. The subtle morphological differences between the sexes in C. yucatanicus may be the result of a balance of opposing selective pressures. Sexual selection may favor slightly larger males, as evidenced by their prominent role in singing during duets and in intraspecific competition for territories (Mennill and Vehrencamp 2005, Ku-Peralta et al. 2020). However, the fact that both sexes participate in territory defence and cooperative parental care probably limits the extent of sexual divergence, favoring overall morphological similarity (Selander 1964, Vargas Soriano et al. 2010). This tension resembles a trade-off whereby males evolve to be slightly larger while remaining morphologically similar to females (Hauber and Lacey 2005, Rubenstein and Lovette 2009, Tobias et al. 2012, Kraaijeveld et al. 2007). This is consistent with the cooperative breeding strategies observed in wrens (Selander 1964, Vargas Soriano et al. 2010). This equilibrium may explain why C. yucatanicus exhibits apparent monomorphism in plumage and overlapping morphometrics, yet still displays subtle sex-linked differences, for example, in vocalizations.
Additionally, future studies could build upon our results by exploring other sex-linked traits. Studies of vocal repertoires and frequencies of vocalizations have revealed significant differences between the sexes of visually monomorphic birds (Mennill and Vehrencamp 2005, Volodin et al. 2015). For example, recent experimental studies of Cantorchilus nigricapillus have demonstrated that song developmental pathways are sex-specific, which supports the idea that acoustic traits can serve as reliable sex indicators (Thalinger et al. 2018). Combining morphometrics with bioacoustic data, such as duet structure or repertoire metrics, could greatly enhance sex classification models, particularly for wrens. Furthermore, exploring feather micropatterns could reveal subtle sex-linked traits. Our findings invite reconsideration of the assumption of strict monochromatism in C. yucatanicus. Previous studies have shown that many species categorized as monochromatic by human observers exhibit subtle sexual dichromatism that can only be detected through spectrophotometry (Eaton 2005). Therefore, it is possible that C. yucatanicus also displays hidden color cues beyond the range of human vision, but that are visible to conspecifics. Incorporating spectrophotometric analyses of plumage into future studies would enable us to test this hypothesis and improve our understanding of the mechanisms underlying sexual differentiation in this endemic wren species. This multifaceted approach could improve accuracy and open new lines of research in behavioral ecology, such as mate selection, signal evolution, and population dynamics (Mays et al. 2004).
This study found significant size differences between males and females of C. yucatanicus, resulting in sexual dimorphism that can be used in the field to know the population structure, sex ratio, and population viability, which in turn can be helpful for species conservation and plan management. Sex-specific identification has enabled the detection of ecological differences, such as prey partitioning (Thalinger et al. 2018). Similarly, reliable sexing allows better assessment of demographic parameters such as differences in survival and dispersal for each sex (Prugnolle and de Meeus 2002), as well as behavioral aspects such as parental care and mating systems. Therefore, our CART-based approach may facilitate broader ecological and evolutionary research. Reliable sexing can strengthen long-term demographic studies by clarifying how sex ratios shape social interactions, dispersal, and cooperative dynamics in bird populations (Donald 2007, Morrison et al. 2016). Moreover, integrating morphometric CART models into broader ornithological research could facilitate comparative studies of sexual dimorphism, cooperative breeding, and ecological specialization across taxa (Rubenstein and Lovette 2009, Thalinger et al. 2018). Furthermore, this method could be used to identify monochromatic species, particularly those of high conservation value, such as endemic and endangered species like parrots and shorebirds. However, the validity of the method would first need to be demonstrated for each species by applying the relevant variables and models.
CONCLUSIONS
This study characterized sexual dimorphism in C. yucatanicus and identified an effective method to differentiate females and males in the field using a classification and regression tree algorithm. These results provide a simple, reliable, and accessible method for identifying the sex of birds in the field, which could aid future demographic research, analysis of sex ratios in populations, and the study of differential dispersal patterns. This is essential for conserving species with an endemic and restricted distribution.
RESPONSES TO THIS ARTICLE
Responses to this article are invited. If accepted for publication, your response will be hyperlinked to the article. To submit a response, follow this link. To read responses already accepted, follow this link.
AUTHOR CONTRIBUTIONS
1. Conceived the idea, design, experiment (supervised research, formulated question or hypothesis); Conceptualization: AS-R, GE-S.
2. Performed the experiments (collected data, conducted the research): AS-R, GE-S, AG-R, SM-M, EEI-E, AHP-V, ASR, LR-M.
3. Wrote the paper (or substantially edited the paper) Writing – Original Draft Preparation, AS-R; Writing – Review & Editing, AS-R, GE-S, AG-R, SM-M, EEI-E, AHP-V, ASR, LR-M.
4. Developed or designed methods: AS-R, GE-S, AG-R, SM-M, EEI-E, AHP-V, ASR, LR-M.
5. Analyzed the data: AS-R.
6. Validation: AS-R, GE-S, AG-R, SM-M, EEI-E, AHP-V, ASR, LR-M.
7. Formal Analysis: AS-R, GE-S, AG-R, SM-M, EEI-E, AHP-V, ASR, LR-M.
ACKNOWLEDGMENTS
Thanks to SEMARNAT, SEDUMA, and CONANP for permitting access to protected areas and sample collection (permits SGPA/DGVS/007765/15, SGPA/DGVS/11088/16, and SGPA/DGVS/002465/18). Thanks to Guillermo Castillo, José España, Barbara MacKinnon de Montes, Alexander Dzib, and ANP’s workers for field assistance and information sharing. Thanks to Ricardo Gaytán Legaria, Goretty Mendoza, Libny Ingrid Lara-De La Cruz, Tamara, and other IIES (Instituto de Investigaciones en Ecosistemas y Sustentabilidad) students for their help. Thanks to The Rufford Foundation. Thanks to an anonymous reviewer who improved an earlier draft of this manuscript.
DATA AVAILABILITY
Data are available upon request by e-mail to the first author (anayserrano1984@gmail.com).
LITERATURE CITED
Andersson, M., and Y. Iwasa. 1996. Sexual selection. Trends in Ecology & Evolution 11:53-58. https://doi.org/10.1016/0169-5347(96)81042-1
Armiger, J. W. 2014. Breeding biology of a tropical cooperative passerine: the Yucatan Wren (Campylorhynchus yucatanicus). Thesis. Villanova University, Villanova, Pennsylvania, USA.
Badyaev, A. V., and G. E. Hill. 2003. Avian sexual dichromatism in relation to phylogeny and ecology. Annual Review of Ecology and Systematics 34:27-49. https://doi.org/10.1146/annurev.ecolsys.34.011802.132441
Bailey, R. E. 1953. Surgery for sexing and observing gonad condition in birds. Auk 70:497-499. https://doi.org/10.2307/4081368
Blondel, J., P. Perret, M. C. Anstett, and C. Thébaud. 2002. Evolution of sexual size dimorphism in birds: test of hypotheses using Blue Tits in contrasted Mediterranean habitats. Journal of Evolutionary Biology 15:440-450. https://doi.org/10.1046/j.1420-9101.2002.00397.x
Bradley, D. W., and D. J. Mennill. 2011. Rufous-naped Wren (Campylorhynchus rufinucha), version 1.0. In T. S. Schulenberg, editor. Neotropical birds online. Cornell Lab of Ornithology, Ithaca, New York, USA. https://doi.org/10.2173/nb.runwre1.01
Breiman, L., J. H. Friedman, R. A. Olshen, and C. J. Stone. 1984. Classification and regression trees. Chapman and Hall/CRC, New York, New York, USA. https://doi.org/10.1201/9781315139470
Brewer, D., and B. K. MacKay. 2001. Wrens, dippers and thrashers. Christopher Helm, London, UK.
Clutton-Brock, T. H. 2009. Sexual selection in females. Animal Behaviour 77:3-11. https://doi.org/10.1016/j.anbehav.2008.08.026
Cutler, D. R., T. C. Edwards Jr, K. H. Beard, A. Cutler, K. T. Hess, J. Gibson, and J. J. Lawler. 2007. Random forests for classification in ecology. Ecology 88(11):2783-2792. https://doi.org/10.1890/07-0539.1
Dale, J., C. J. Dey, K. Delhey, B. Kempenaers, and M. Valcu. 2015. The effects of life history and sexual selection on male and female plumage colouration. Nature 527:367-370. https://doi.org/10.1038/nature15509
Darwin, C. 1871. The descent of the man, and selection in relation to sex. John Murray, London, UK. https://doi.org/10.5962/bhl.title.2092
De'ath, G., and K. E. Fabricius. 2000. Classification and regression trees: a powerful yet simple technique for ecological data analysis. Ecology 81(11):3178-3192. https://doi.org/10.1890/0012-9658(2000)081[3178:CARTAP]2.0.CO;2
del Hoyo, J., A. Elliot, and D. Christie. 2005. Handbook of the birds of the world. Volume 10: Cuckoo-shrikes to thrushes. Lynx Edicions, Barcelona, España.
Delhey, K., C. Burger, W. Fiedler, and A. Peters. 2010. Seasonal changes in colour: a comparison of structural, melanin-and carotenoid-based plumage colours. PLoS ONE 5(7):e11582. https://doi.org/10.1371/journal.pone.0011582
DeSante, D. F., K. M. Burton, D. Kaschube, P. Velez, D. Froehlich, and S. Albert. 2025. Instructions for the establishment and operation of constant-effort bird-banding stations as part of the monitoring avian productivity and survivorship (MAPS) program. The Institute for Bird Populations, Petaluma, California, USA. https://www.birdpop.org/docs/misc/MAPSManual25.pdf
Diario Oficial de la Federación. 2010. NORMA Oficial Mexicana NOM-059-SEMARNAT-2010, Protección ambiental-Especies nativas de México de flora y fauna silvestres-Categorías de riesgo y especificaciones para su inclusión, exclusión o cambio-Lista de especies en riesgo. Diario Oficial de la Federación, México.
Donald, P. F. 2007. Adult sex ratios in wild bird populations. Ibis 149(4):671-692. https://doi.org/10.1111/j.1474-919X.2007.00724.x
Dunn, P. O., J. K. Armenta, and L. A. Whittingham. 2015. Natural and sexual selection act on different axes of variation in avian plumage color. Science Advances 1:e1400155. https://doi.org/10.1126/sciadv.1400155
Dunn, P. O., L. A. Whittingham, and T. E. Pitcher. 2001. Mating systems, sperm competition, and the evolution of sexual dimorphism in birds. Evolution 55:161-175. https://doi.org/10.1111/j.0014-3820.2001.tb01281.x
Eaton, M. D. 2005. Human vision fails to distinguish widespread sexual dichromatism among sexually “monochromatic” birds. Proceedings of the National Academy of Sciences 102(31):10942-10946. https://doi.org/10.1073/pnas.0501891102
Estellés-Domingo, I., and P. López-López. 2023. Non-invasive sex determination of nestlings and adult Bonelli’s Eagles using morphometrics. Animals 13(7):1201. https://doi.org/10.3390/ani13071201
Fair, J. M., E. Paul, and J. Jones, editors. 2010. Guidelines to the use of wild birds in research. Third Edition. Ornithological Council, Washington, D.C., USA.
Fernández, G., and D. B. Lank. 2007. Variation in the wing morphology of Western Sandpipers (Calidris mauri) in relation to sex, age class, and annual cycle. Auk 124(3):1037-1046. https://doi.org/10.1093/auk/124.3.1037
Gill, S. A., and M. J. Vonhof. 2006. Sexing monochromatic birds in the field: cryptic sexual size dimorphism in Buff-breasted Wrens. Ornitología Neotropical 17(3):381-391.
Griffiths, R., S. Daan, and C. Dijkstra. 1996. Sex identification in birds using two CHD genes. Proceedings of the Royal Society of London Series B 263:1251-1256. https://doi.org/10.1098/rspb.1996.0184
Haggerty, T. M. 2006. Sexual size dimorphism and assortative mating in Carolina Wrens (Thryothorus ludovicianus). Journal of Field Ornithology 77(3):259-265. https://doi.org/10.1111/j.1557-9263.2006.00051.x
Han, J.-I., J.-H. Kim, S. Kim, S.-R. Park, and K.-J. Na. 2009. A simple and improved DNA test for avian sex determination. Auk 126:779-783. https://doi.org/10.1525/auk.2009.08203
Hauber, M. E., and E. A. Lacey. 2005. Bateman’s principle in cooperatively breeding vertebrates: the effects of non-breeding alloparents on variability in female and male reproductive success. Integrative and Comparative Biology 45:903-914. https://doi.org/10.1093/icb/45.5.903
Hedrick, A. V., and E. J. Temeles. 1989. The evolution of sexual dimorphism in animals: hypotheses and tests. Trends in Ecology & Evolution 4:136-138. https://doi.org/10.1016/0169-5347(89)90212-7
Hess, K. R., M. C. Abbruzzese, R. Lenzi, M. N. Raber, and J. L. Abbruzzese. 1999. Classification and regression tree analysis of 1000 consecutive patients with unknown primary carcinoma. Clinical Cancer Research 5(11):3403-3410.
James, G., D. Witten, T. Hastie, and R. Tibshirani. 2021. An introduction to statistical learning: with applications in R. Springer, New York, New York, USA. https://doi.org/10.1007/978-1-0716-1418-1
Jensen, T., F. M. Pernasetti, and B. Durrant. 2003. Conditions for rapid sex determination in 47 avian species by PCR of genomic DNA from blood, shell-membrane blood vessels, and feathers. Zoo Biology 22:561-571. https://doi.org/10.1002/zoo.10101
Jiménez, S., A. Domingo, A. Brazeiro, O. Defeo, M. Abreu, R. Forselledo, and R. A. Phillips. 2016. Sexual size dimorphism, spatial segregation and sex-biased bycatch of Southern and Northern Royal Albatrosses in pelagic longline fisheries. Antarctic Science 29(2):147-154. https://doi.org/10.1017/S0954102016000493
Kahn, N. W., J. St. John, and T. W. Quinn. 1998. Chromosome-specific intron size differences in the avian CHD gene provide an efficient method for sex identification in birds. Auk 115(4):1074-1078. https://doi.org/10.2307/4089527
Kraaijeveld, K., F. J. Kraaijeveld-Smit, and J. Komdeur. 2007. The evolution of mutual ornamentation. Animal Behaviour 74(4):657-677. https://doi.org/10.1016/j.anbehav.2006.12.027
Kuhn, M. 2023. caret: Classification and regression training. R package version 6.0-94. https://doi.org/10.32614/CRAN.package.caret
Kuhn, M., and K. Johnson 2013. Applied predictive modeling. Springer, New York, New York, USA. https://doi.org/10.1007/978-1-4614-6849-3
Ku-Peralta, W., A. G. Navarro-Sigüenza, L. Sandoval, and J. R. Sosa-López. 2020. Geographic variation in the duets of the Rufous-naped Wren (Campylorhynchus rufinucha) complex. Auk 137:ukaa015. https://doi.org/10.1093/auk/ukaa015
Lee, M. Y., Y. J. Hong, S. K. Park, Y. J. Kim, T. Y. Choi, H. Lee, and M. S. Min. 2008. Application of two complementary molecular sexing methods for East Asian bird species. Genes & Genomics 30(4):365-372.
Lima-Rezende, C. A., and R. Caparroz. 2016. Sexual dimorphism in a cooperative breeding thraupid (White-Banded Tanager, Neothraupis fasciata): the relevance of the black mask. Ornitología Neotropical 27:275-287. https://doi.org/10.58843/ornneo.v27i0.79
Loh, W. Y. 2014. Fifty years of classification and regression trees. International Statistical Review 82(3):329-348. https://doi.org/10.1111/insr.12016
Maron, J. L., and J. P. Myers. 1984. A description and evaluation of two techniques for sexing wintering Sanderlings. Journal of Field Ornithology 55:336-342.
Mays Jr, H. L., K. J. McGraw, G. Ritchison, S. Cooper, V. Rush, and R. S. Parker. 2004. Sexual dichromatism in the Yellow-breasted Chat Icteria virens: spectrophotometric analysis and biochemical basis. Journal of Avian Biology 35(2):125-134. https://doi.org/10.1111/j.0908-8857.2004.03101.x
Meissner, W., P. Pinchuk, N. Karlionova, I. Fischer, and L. Pilacka. 2018. Sexual size dimorphism and sex determination by external measurements in the Redshank Tringa tetanus. Turkish Journal of Zoology 42:1-5. https://doi.org/10.3906/zoo-1705-52
Mennill, D. J., and S. L. Vehrencamp. 2005. Sex differences in singing and duetting behavior of Neotropical Rufous-and-White Wrens (Thryothorus rufalbus). Auk 122(1):175-186. https://doi.org/10.1093/auk/122.1.175
Milborrow, S. 2023. rpart.plot: Plot 'rpart' Models. R package version 3.1.1.
Morrison, C. A., R. A. Robinson, J. A. Clark, and J. A. Gill. 2016. Causes and consequences of spatial variation in sex ratios in a declining bird species. Journal of Animal Ecology 85(5):1298-1306. https://doi.org/10.1111/1365-2656.12556
Olden, J. D., J. J. Lawler, and N. L. Poff. 2008. Machine learning methods without tears: a primer for ecologists. Quarterly Review of Biology 83(2):171-193. https://doi.org/10.1086/587826
Paynter Jr., R. A. 1955. The ornithogeography of the Yucatan Peninsula. Peabody Museum Natural History Bulletin 9:347.
Piper, W. H., and R. H. Wiley. 1991. Effects of laparotomies on wintering White-throated Sparrows and the usefulness of wing chord as a criterion for sexing. Journal of Field Ornithology 62:40-45.
Prugnolle, F., and T. de Meeus. 2002. Inferring sex-biased dispersal from population genetic tools: a review. Heredity 88(3):161-165. https://doi.org/10.1038/sj.hdy.6800060
Purwaningrum, M., H. A. Nugroho, M. Asvan, K. Karyanti, B. Alviyanto, R. Kusuma, and A. Haryanto. 2019. Molecular techniques for sex identification of captive birds. Veterinary World 12(9):1506-1513. https://doi.org/10.14202/vetworld.2019.1506-1513
Pyle, P. 1997. Identification guide to North American birds. Part 1. Columbidae through Ploceidae. Slate Creek, Bolinas, California, USA.
Richner, H. 1989. Avian laparoscopy as a field technique for sexing birds and an assessment of its effects on wild birds (Laparoscopía en el Campo como técnica para Determinar el Sexo de Aves). Journal of Field Ornithology 60(2):137-142.
Ridgway, R. 1904. Birds of North and Middle America: U.S. National Museum Bulletin 50(3):801.
Roper, J. J. 2005. Sexually distinct songs in the duet of the sexually monomorphic Rufous Hornero. Journal of Field Ornithology 76(3):234-236. https://doi.org/10.1648/0273-8570-76.3.234
Rubenstein, D. R., and I. J. Lovette. 2009. Reproductive skew and selection on female ornamentation in social species. Nature 462:786-789. https://doi.org/10.1038/nature08614
Selander, R. K. 1964. Speciation in wrens of the genus Campylorhynchus. University of California Publications in Zoology 74.
Serrano-Rodríguez, A., G. Escalona-Segura, A. H. Plasencia-Vázquez, E. E. Iñigo Elias, and L. Ruiz-Montoya. 2017. Potential distribution and landscape connectivity: criteria for reevaluating the threat degree of Campylorhynchus yucatanicus (Aves: Troglodytidae). Revista De Biología Tropical 65(4):1554-1568. https://doi.org/10.15517/rbt.v65i4.26599
Serrano-Rodríguez, A., G. Escalona-Segura, A. G. Rodríguez, S. Machkour-M’Rabet, L. Ruiz-Montoya, E. E. I. Elias, and A. H. Plasencia-Vázquez. 2022. Effects of anthropogenic habitat fragmentation on the genetic connectivity of the threatened and endemic Campylorhynchus yucatanicus (Aves, Trogloditydae) in the Yucatan Peninsula, Mexico. Diversity 14:1108. https://doi.org/10.3390/d14121108
Shine, R. 1989. Ecological causes for the evolution of sexual dimorphism: a review of the evidence. Quarterly Review of Biology 64:419-461. https://doi.org/10.1086/416458
Silva, S. T. D. D., M. Pagthinathan, S. Bandara, and I. N. Pathirana. 2023. Sex identification methods of birds: a review. Asian Journal of Medical and Biological Research 9(4):134-144. https://doi.org/10.3329/ajmbr.v9i4.69414
Stein, R. W., G. Fernández, H. de la Cueva, and R. W. Elner. 2008. Disproportionate bill length dimorphism and niche differentiation in wintering Western Sandpipers (Calidris mauri). Canadian Journal of Zoology 86(7):601-609. https://doi.org/10.1139/Z08-033
Stiles, F. G., D. L. Altshuler, and R. Dudley. 2005. Wing morphology and flight behavior of some North American hummingbirds. Auk 122:872-886. https://doi.org/10.1093/auk/122.3.872
Sweeney, J. J., and P. Tatner. 1996. Sexing Wrens Troglodytes troglodytes indigenus using morphological measurements and discriminant analysis. Bird Study 43(3):342-350. https://doi.org/10.1080/00063659609461027
Temeles, E. J., I. L. Pan, J. L. Brennan, and J. N. Horwitt. 2000. Evidence for ecological causation of sexual dimorphism in a hummingbird. Science 289:441-443. https://doi.org/10.1126/science.289.5478.441
Thalinger, B., J. Oehm, C. Zeisler, J. Vorhauser, and M. Traugott. 2018. Sex-specific prey partitioning in breeding piscivorous birds examined via a novel, noninvasive approach. Ecology and Evolution 8(17):8985-8998. https://doi.org/10.1002/ece3.4421
Therneau, T. M., and E. J. Atkinson. 1997. An introduction to recursive partitioning using the rpart routine. Technical Report 61, Section of Statistics, Mayo Foundation.
Therneau, T., B. Atkinson, and B. Ripley. 2023. rpart: Recursive partitioning and regression trees. R package version 4.1-19. https://doi.org/10.32614/CRAN.package.rpart
Tobias, J. A., R. Montgomerie, and B. E. Lyon. 2012. The evolution of female ornaments and weaponry: social selection, sexual selection and ecological competition. Philosophical Transactions of the Royal Society B: Biological Sciences 367(1600):2274-2293. https://doi.org/10.1098/rstb.2011.0280
Turcu, M.-C., A. I. Paștiu, L.-V. Bel, and D. L. Pusta. 2023. Minimally invasive sampling methods for molecular sexing of wild and companion birds. Animals 13:3417. https://doi.org/10.3390/ani13213417
Vargas Soriano, J., J. Salgado Ortíz, and G. Escalona Segura. 2010. Breeding phenology and nesting success of the Yucatan Wren in the Yucatan Peninsula, Mexico. Wilson Journal of Ornithology 122:439-446. https://doi.org/10.1676/08-164.1
Volodin, I. A., E. V. Volodina, A. V. Klenova, and V. A. Matrosova. 2015. Gender identification using acoustic analysis in birds without external sexual dimorphism. Avian Research 6(1):20. https://doi.org/10.1186/s40657-015-0033-y
Wingfield, J. C., and D. S. Farner. 1976. Avian endocrinology—field investigations and methods. Condor 78:570-573. https://doi.org/10.2307/1367117
Witkowska, M., and W. Meissner. 2020. Sexual dimorphism in size and plumage in adult Curley Sandpiper (Calidris ferruginea) migrating in autumn through the Baltic Sea region. Ornis Fennica 97:186-199. https://doi.org/10.51812/of.133976
Wolfson, A. 1952. The cloacal protuberance: a means for determining breeding condition in live male passerines. Bird-Banding 23(4):159-165. https://doi.org/10.2307/4510381
Fig. 1
Fig. 1. The sampling sites of Campylorhynchus yucatanicus individuals were evenly distributed along the coast of the northern Yucatan Peninsula, Mexico: (1) Celestún southeast, (2) Celestún northwest, (3) El Palmar, (4) Sisal east, (5) Sisal west, (6) Chuburná, (7) Capilla, (8) Chixchulub east, (9) San Benito, (10) Xcambó south, (11) Santa Clara, (12) Dzilam south, (13) Ría Lagartos east, and (14) Ría Lagartos west.
Fig. 2
Fig. 2. Distribution of frequencies of values for the variables used in the classification and regression trees (CART) method for sex classification in male (blue) and female (green) Campylorhynchus yucatanicus individuals in the Yucatan Peninsula, Mexico.
Fig. 3
Fig. 3. Decision tree for sex classification of Campylorhynchus yucatanicus individuals based on morphometric measurements and application of the classification and regression trees (CART) algorithm. The boxes show the male (m) or female (f) sex, the probability and the percentage of all data in the dataset.
Table 1
Table 1. Descriptive statistics of the variables and U-Mann Whitney test outcomes used to differentiate female and male Campylorhynchus yucatanicus in Yucatan Peninsula, Mexico.
| Sex | n | Median | SD | Min | Max | % dimorphism | U-Mann Whitney | p | |
| Weight (g) | M | 75 | 36.8 | 2.2 | 30.0 | 41.0 | 14.79 | 171.5 | 0.001 |
| F | 64 | 32.1 | 2.1 | 28.0 | 39.0 | ||||
| Beak height (mm) | M | 72 | 5.65 | 0.25 | 4.55 | 6.30 | 8.73 | 188.5 | 0.001 |
| F | 65 | 5.20 | 0.25 | 4.50 | 6.30 | ||||
| Beak length from nostrils (mm) | M | 74 | 19.50 | 1.05 | 16.45 | 21.80 | 8.44 | 487.0 | 0.001 |
| F | 65 | 17.95 | 0.95 | 14.80 | 19.90 | ||||
| Beak length from base (mm) | M | 73 | 26.95 | 1.35 | 23.45 | 30.55 | 8.24 | 365.0 | 0.001 |
| F | 65 | 24.90 | 1.15 | 21.10 | 27.45 | ||||
| Wing length (mm) | M | 75 | 75.4 | 1.6 | 71.0 | 79.0 | 6.75 | 67.5 | 0.001 |
| F | 63 | 70.6 | 1.9 | 67.0 | 77.0 | ||||
| Length of body (mm) | M | 64 | 189 | 31 | 19 | 230 | 6.92 | 326.0 | 0.001 |
| F | 58 | 177 | 30 | 18 | 195 | ||||
| Beak and head length (mm) | M | 74 | 53.35 | 1.35 | 49.25 | 56.60 | 6.03 | 197.5 | 0.001 |
| F | 65 | 50.30 | 1.25 | 46.40 | 53.50 | ||||
| Tarsus length (mm) | M | 75 | 27.10 | 0.90 | 24.80 | 29.50 | 5.59 | 234.5 | 0.001 |
| F | 65 | 25.70 | 0.70 | 23.05 | 27.10 | ||||
| Tail length (mm) | M | 66 | 73.4 | 2.4 | 69.0 | 79.0 | 5.55 | 440.5 | 0.001 |
| F | 56 | 69.5 | 3.0 | 62.0 | 77.0 | ||||
| Beak width (mm) | M | 72 | 4.70 | 0.25 | 4.20 | 5.45 | 4.07 | 925.0 | 0.001 |
| F | 65 | 4.55 | 0.25 | 4.00 | 5.70 | ||||
| Length of nail (mm) | M | 74 | 8.25 | 0.30 | 7.05 | 8.80 | 3.41 | 925.5 | 0.001 |
| F | 65 | 7.95 | 0.45 | 6.90 | 8.80 | ||||
Table 2
Table 2. Performance of classification and regression tree algorithms based on training and test datasets and evaluated by the accuracy, sensitivity, specificity, prediction, and F1 score. Females represent the positive class.
| Dataset | |||||||||
| Train (70%) | Test (30%) | ||||||||
| Accuracy | 0.9792 | 0.8974 | |||||||
| Sensitivity | 0.9778 | 1.0000 | |||||||
| Specificity | 0.9804 | 0.8095 | |||||||
| Female prediction value | 0.9778 | 0.8182 | |||||||
| Male prediction value | 0.9804 | 1.0000 | |||||||
| Prevalence | 0.4688 | 0.4615 | |||||||
| Kappa | 0.9582 | 0.7969 | |||||||
| P-value | <2e-16 | 1.661e-06 | |||||||
